Skip to main content
what-is-net-present-value-npv-meaning-and-formula

What is Net Present Value? NPV Meaning & Formula

Learn how Net Present Value helps evaluate investment options by comparing returns, considering inflation, opportunity cost, and time value of money.

Written by : Knowledge Centre Team

2025-12-26

3900 Views

10 minutes read

What is Net Present Value? Money in hand is more valuable than what you will receive in future. Simple logic. You can invest the money to earn returns/interest. Money that you will receive in future is less valuable because inflation would erode its value over time. So, how do you compare money today vs money that you will receive in future? That is what Net Present Value (NPV) would cover.
 

Key Takeaways

 

  • NPV helps compare investment options by calculating the current value of expected future returns, considering inflation and opportunity cost.
  • A positive NPV indicates a profitable investment, while a negative NPV suggests the investment may not be worth pursuing.
  • Opportunity cost is crucial in NPV, as it represents the return you had to forgo by investing in one option over a safer or alternative investment.
  • NPV requires knowledge of future cash flows and a discount rate, which can be based on inflation or your expected rate of return.
  • NPV has alternatives like IRR and Payback Period, which offer different perspectives on project profitability and liquidity risk.

Net Present Value – Definition

NPS allows you to compare your investment options against your opportunity cost. Opportunity cost is the interest you stand to lose if you choose one option over the other. For example, you can keep Rs 10 lakh in a bank FD and safely earn a return of 6% p.a. after taxes. Here if you want to invest Rs 10 lakhs anywhere else, your opportunity cost is 6% p.a.

Thus, if you want to invest the same amount in a mutual fund with a higher risk profile, you would want the mutual fund to offer you better returns than 6% p.a. NPV gives you the difference between your current value of an investment and the money received in future. This is the most simplistic definition of NPV. It is a method of analysing whether a particular project or investment is worth considering.

If the NPV is positive, that means your new investment offers you better than the opportunity cost. If not, there is no motivation for you to leave the safety of fixed deposits (or your current investment).
 

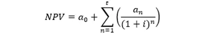
How to Calculate NPV using Formula?

To calculate NPV, you must know the timing of the future cash flows. You will discount the future amount to today’s value using the rate of return, called the discounting rate.
 

NPV = Net Present Value

a0 = initial investment amount (represented as negative cashflow)
an = cash flow at time n
i = discount rate for the period
n = time of the cash flow
t = total number of cash flows

As long as interest rates are positive, a rupee today is worth more than a rupee in the future. This is because inflation would erode the value of the same rupee.

For example, if you are offered Rs 100 today vs Rs 100 a year later. Availing it today is sensible because the same Rs 100 cannot buy the same goods a year later. After all, the goods would become costlier due to inflation.

However, if you invest Rs 100 in inflation-beating financial instrument, your money would be more valuable in future. So, the discount rate is critical for NPV calculation.

How to Calculate NPV Using MS Excel?

The Excel NPV function calculates the net present value (NPV) of an investment using a discount rate and future cash flows.

Syntax

= NPV (rate, v1, [v2], ...)

Arguments

  • rate - Discount rate over one period.
  • v1 - First value(s) representing cash flows.
  • v2 - [optional] Second value(s) representing cash flows.

Build a Financial Plan that Protects and Grows Your Wealth

Please enter correct name Please enter the Full name
Please enter valid mobile number Please enter Mobile Number
Please enter valid email Please enter Email

Enter OTP

An OTP has been sent to your mobile number

Didn’t receive OTP?

Application Status

Name

Date of Birth

Plan Name

Status

Unclaimed Amount of the Policyholder as on

Name of the policy holder

Policy No.

Address of the Policyholder as per records

Unclaimed Amount

Error

Sorry ! No records Found

.  Please use this ID for all future communications regarding this concern.

Request Registered

Thank You for submitting the response, will get back with you.

Thank you for your interest in our product. Our financial expert will connect with you shortly to help you choose the best plan.

When to Use NPV?

NPV can come in handy when planning your investments across asset classes and financial instruments. For example, if you are comparing instruments with recurring deposits such as PPF, NPS, ULIP, ELSS SIP etc, NPV is the perfect tool to evaluate returns.

For example, you are evaluating a 3-year bank deposit that pays interest each month and comparing this with a stock that you will be selling off after 3 years. Calculate the NPV of both these options using the rate of inflation as the discounting rate and invest in whichever has a higher NPV.

Do you know

Did You Know?

NPV was first introduced by Irving Fisher in 1907 as part of his theory of interest, making it over a century old!

 

Source: Research Gate

 

iSelect Guaranteed Future Plus

Advantages and Disadvantages of NPV

NPV is a good method to understand if the new investment will meet your ROI expectations. However, it suffers from disadvantages in certain situations:

ADVANTAGESDISADVANTAGES
Uses time value of moneyNo set guidelines for the rate of return
Simple, easy way to evaluate projectsCan’t compare projects of different sizes
Considers cost of capitalDoes not consider the cashflow size
Factors in uncertainty by discounting far-future estimatesDoes not consider qualitative factors
Possible to consider ROI changes over timeDifficult to compare investments with different tenures

Alternatives to NPV

NPV estimates how valuable your project is in comparison to another project (or investment) with similar value. However, NPV is not an all-pervasive method of investment evaluation. Some alternative methods to NPV are:

Payback Period

The payback method is a viable alternative to NPV and calculates how long it will take for you to recover your money. The formula is simple to remember and calculate. You need the initial investment and the net annual cash flow to calculate the payback period.

The formula for calculating the payback period is:

Payback Period = (Initial Investment / Average Annual Cash Inflow)

The payback method helps in quickly evaluating projects and reducing the risk of losses. A project with a short payback period is efficient and improves liquidity. It implies the project is less risky and helpful for small enterprises with restricted resources. A smaller payback period also reduces the risk of losses caused due to changes in the economy.

Internal Rate of Return (IRR)

The IRR is arrived at by finding out the discount rate needed to make NPV zero. IRR method is used to evaluate projects of different tenures basis their rates of forecasted return.

For example, Comparing the projected profitability of 3-year and 10-year projects. NPV calculates the total amount of money you will make in an investment, factoring in the time value of money. In IRR, you calculate the annual rate of return that you would earn.

Which Method should you Use with Investments?

While NPV is a good method to evaluate your investments, its use requires an understanding of the following factors:

  • Expected ROI or Opportunity cost
  • Future cash flows

Thus, NPV is good for evaluating investments like Monthly Income Plans (MIPs) or market-linked investments which generate income. For example, in ULIPs from Canara HSBC Life Insurance, you can invest up to the age of 99. This allows you to build a corpus by the age of 60 and then use it to draw a pension for life.

If you want to assess if you should stay invested or withdraw from the ULIP to invest elsewhere, you can use the NPV method to compare incomes.

 

Evaluate your Investment Options

NPV determines how much an investment, project, or cash flow is worth. It is a comprehensive metric because it accounts for revenues, expenses, and capital costs associated with the investment. In addition, it also accounts for the timing of each cash flow that impacts the present value of an investment. Payback and IRR are alternatives to NPV although each has its respective advantages and drawbacks.

However, evaluating your investment options is more important than the methods. You should evaluate your investments before investing and after investing money.

Glossary

  1. NPV: A method to determine the value of future cash flows in today’s terms, factoring in returns, inflation, and opportunity cost.
  2. Opportunity Cost: The potential return lost when choosing one investment option over another, used as a benchmark in NPV calculations.
  3. Discount Rate: Interest rate that calculates the present value of future cash flows; mostly aligned with inflation or expected ROI.
  4. Payback Period: Time taken to recover the original investment from cash inflows; a quick risk-assessment tool for project evaluation.
  5. Internal Rate of Return: The rate at which an investment’s NPV becomes zero, helping compare investments with different durations.
Glossary book
Uncertain About Insurance

Disclaimer - This article is issued in the general public interest and meant for general information purposes only. The views expressed in this blog are solely those of the writer and do not necessarily reflect the official policy or position of Canara HSBC Life Insurance Company Limited or any affiliated entity. We make no representations or warranties of any kind, express or implied, about the completeness, accuracy, reliability, suitability, or availability with respect to the blog or the information, products, services, or related graphics contained in the blog for any purpose. Any reliance you place on such information is therefore strictly at your own risk. You should consult with a qualified professional regarding your specific circumstances before taking any action based on the content provided herein.

Recent Blogs

What is SIP?
What is SIP - SIP Meaning, Types, How Does SIP Work?
24 Feb '26
1098 Views
7 minute read
SIP - Systematic Investment Plan is the best way to invest in mutual funds. Learn more about SIP Investment, its meaning, benefits, and how to find the best SIP plans.
Read More
Financial Planning
How To Save Money Thum Desktop
How to Save Money? Tips on Save Money in 2026
18 Feb '26
1465 Views
10 minute read
How to save money - Learn the best tips and some simple ways to save money. Learn more about the benefits of saving money as soon as you start earning.
Read More
Financial Planning
Types Of Financial Planning Thum Desktop
Types of Financial Planning: Key Strategies for a Secure Future
18 Feb '26
902 Views
Different types of financial planning guide your decisions at every life stage. Plan wisely from your first paycheck to retirement with Canara HSBC Life Insurance.
Read More
Financial Planning
Types Of Financial Planning Thum Desktop
Difference Between Financial Year (FY) vs. Assessment Year (AY)
16 Feb '26
1196 Views
7 minute read
Find out what is Assessment Year (AY) & Financial Year (FY). Visit this section and understand the difference between Financial Year and Assessment Year.
Read More
Financial Planning
How To Organize Your Financial Records Effectively Thum Desktop
Tips to Keep Financial Records Organized Effectively
12 Feb '26
619 Views
5 minute read
Learn how to sort, store, and manage your financial records with ease. Improve control and reduce financial stress.
Read More
Financial Planning
5 Smart Tips To Maintain Your Monthly Budget Thum Desktop
How Can You Maintain a Monthly Budget Without Stress Easily?
11 Feb '26
1000 Views
6 minute read
Learn 5 practical tips to maintain a monthly budget, manage expenses, prioritise savings, control lifestyle inflation, and stay consistent with your financial goals.
Read More
Financial Planning
Financial Instrument Meaning Types And Importance Thum Desktop
Financial Instrument: Meaning, Types and Importance
10 Feb '26
2684 Views
8 minute read
Financial instruments are essential to build and boost your wealth. Know the types of financial instruments available in India. Explore more about the tax benefits of financial instruments.
Read More
Financial Planning
Is Sip Tax Free Thum Desktop
Is SIP Tax Free? How to Start SIP To Save Tax on Your Income?
09 Feb '26
4421 Views
10 minute read
SIPs are one of the best tax-saving investments. Learn if SIP is tax-free under Section 80C of the Income Tax Act to plan your finances.
Read More
Financial Planning
What is Inflation
What is Inflation? How It Affects Your Purchasing Power?
08 Feb '26
894 Views
8 minute read
Inflation means increase in price of goods and services which leads to the decline of the purchasing power. Learn the meaning of inflation, causes and the effects of inflation in this article.
Read More
Financial Planning

Financial Planning - Top Selling Plans

We bring you a collection of popular Canara HSBC life insurance plans. Forget the dusty brochures and endless offline visits! Dive into the features of our top-selling online insurance plans and buy the one that meets your goals and requirements. You and your wallet will be thankful in the future as we brighten up your financial future with these plans.

Fixed Returns, Zero Risks & Worries

iSelect Guaranteed Future Plus
  • 4 Plan options
  • Life cover + Guaranteed benefits
  • Accidental death benefit
  • Premium protection cover

Save, Dream, Plan. Live Peacefully

iSelect Guaranteed Future
  • 5 Plan options
  • Option to choose PPT
  • Get Tax benefits
  • Premium protection cover